| クラミジア感染症 (infection with chlamydia) |
1:クラミジア感染症について
(1)クラミジアとは
グラム陰性偏性細胞内寄生性の真正細菌です。
偏性細胞内寄生体(obligate intracellular parasite)とは、別の生物の細胞内でのみ増殖可能で、それ自身が
単独では増殖できない微生物のことです。

『病気がみえる vol.6 免疫・膠原病・感染症』 から引用
クラミジアは生きた細胞内でのみ増殖が可能な偏性細胞内寄生体です。
また、DNA と RNA の両方を持ち、宿主細胞内に侵入後は独特の増殖サイクルで分裂増殖します。
「平成23年10月15日発行 広島市医師会だより第546号」から引用
(2)クラミジア感染症とは
各種のクラミジアによって、様々な病気が発症します。
クラミジア・トラコマチス(Chlamydia trachomatis)--トラコーマ、性器クラミジア感染症、鼠径リンパ肉芽腫
オウム病クラミジア(Chlamydia psittaci)---------オウム病
肺炎クラミジア(Chlamydia pneumoniae )--------クラミジア肺炎(非定型肺炎)、気管支炎 などです。
(3)クラミジア感染で起こる病気
@尿道炎(男性)
感染すると尿道に炎症を起こして、排尿痛や尿道痛、尿道分泌物などの症状が出ます。
A精巣上体炎(男性)
クラミジア感染を放置して炎症が広がると、精巣上体炎になることがあります。
精巣上体の腫れや痛み、軽い発熱などの症状があります。
中年以下の精巣上体炎の原因の多くがクラミジアと言われています。
B子宮頸管炎(女性)
クラミジア感染により、子宮頸管に炎症が起こると、おりものの増加や、不正出血、下腹部痛、性交痛などの
症状がでることがあります。
激しい下腹部痛を伴うこともあります。
C子宮内膜炎、卵管炎、卵巣炎、骨盤腹膜炎(女性)
クラミジアは、上行性感染を起こし、腟から上へ感染が広がっていきます。
感染を放置すると、子宮内膜炎、卵管炎、卵巣炎、骨盤腹膜炎と広がっていき、PID(骨盤内炎症性疾患)を
引き起こします。
骨盤内炎症性疾患(PID:pelvic inflammatory disease)
骨盤内炎症性疾患は感染しているパートナーとの性交時に感染します。
典型的には、下腹部痛、おりもの、不規則な性器出血(不正出血)が生じます。
診断は、症状と子宮頸部および腟から採取した分泌物の検査結果のほか、ときに超音波検査の結果に基づいて
下されます。
この感染症は抗菌薬で根治させることができます。
D肝周囲炎(女性)
骨盤腹膜炎が更に上行し、肝臓の周囲にまで及ぶことがあります。
これを肝周囲炎と言い、激しい上腹部痛を引き起こします。
E子宮外妊娠、不妊症(女性)
卵管に炎症が起こることで、卵管の卵子を輸送する機能が低下し、卵管妊娠(子宮外妊娠)を起こすことが
あります。
また、炎症によって卵管内が癒着し、卵管がつまって不妊症になることもあります。
F咽頭感染(男性・女性)
クラミジアが咽頭に感染した場合、無症状の方がほとんどです。
一部に、耳閉感、難聴、鼻閉、咽頭痛、頸部リンパ節の腫脹、滲出性中耳炎を併発することがあります。
気づかないままに症状が悪化したり他の人にうつしてしまったりという事が起こってしまっているのが現状です。
G直腸感染(男性・女性)
直腸に感染しても70%は無症状ですが、軽度の下痢や肛門症状が出ることもあります。
感染経路は、アナルセックスの他、性器の感染が、尿や頸管分泌液が直腸へ流入することで広がったり、体内で
広がる可能性も考えられています。
H成人型封入体結膜炎(男性・女性)
感染した人の膿や分泌物が手指を介して目に感染することがあります。
その他、咽頭上部の感染が目に広がる可能性もあります。
約1週間の潜伏期間のあと、充血や目やに、まぶたの腫れ上輪部浸潤などの症状が出ます。
I新生児封入体結膜炎
母親がクラミジアに感染したまま出産した場合、赤ちゃんの目に感染し、充血や目やに、まぶたの腫れといった
症状を引き起こします。
2:感染様式
(1)感染経路
接触感染、主に性行為によって感染します。
クラミジアは主に性器に感染し、その患者数は、日本では全ての性病のなかで最も多い感染症です。
しかし、キスだけで感染した症例もあるそうです。
感染部位は、性器、喉、肛門・直腸、結膜(目)、などです。
新生児は出生時に産道感染します。
クラミジアは円柱上皮細胞に感染して増殖するため、尿道や子宮頸管だけでなく、近年問題と なっている
口腔性交による咽頭感染の原因にもなっています。
(2)潜伏期間
@クラミジア性尿道炎
感染後、潜伏期間1?3週間で発症します。
淋病とくらべると感染してからの潜伏期間が長く、発症しても軽いかゆみや痛み、膿がでるなどの不快感や
違和感だけで、排尿痛もほとんど感じない場合もあります。
3:疫学
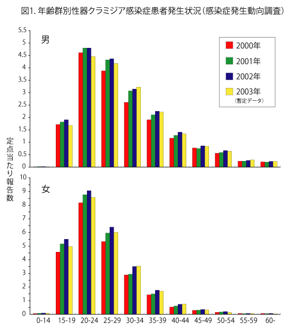
若年層の女性に多い。
成人では性行為により感染しますが、新生児は母親からの産道感染です。
クラミジア感染は男女とも性的活動の活発な若年層に多いが、特に女性でその傾向が目立ちます。
29歳以下では男性患者数を上回っている。
最近では初交年齢の低下に伴って、10代の女性の感染率の高さが将来の不妊につながるとして憂慮されています。
女性では 感染を受けても自覚症状に乏しいため、診断治療に至らないことが多く、無自覚のうちに男性 パートナーや
出産児へ感染させることもあるので、注意が必要である。
また、口腔性交による咽頭への感染も少なくないことが報告されています。
「性感染症報告数 2004年〜2020年」 厚労省
国立感染症研究所 感染症発生動向調査より
4:症状
半数以上の方が無症状ですが、症状が出る場合は、下記の症状が挙げられます。
(1)男性の症状
軽度の尿道掻痒感(かゆみ)や不快感
軽度の排尿時痛
尿道から少量の分泌物(漿液性〜粘液性)
精巣上体の腫れ淋菌感染症と似た症状ですが、その程度は淋菌よりもかなり軽いのが特徴です。
咽頭への感染がある場合は、しばしば頸部リンパ節腫脹が認められます。
(2)女性の症状
おりものの増加
不正出血(生理時以外の出血)
下腹部の痛み
性交時痛
(*)フィッツ・ヒュー・カーティス症候群
クラミジアなどによって引き起こされる肝周囲炎の事です。
原因菌はクラミジア]多く、次いで淋菌などによるものが多いとされます。
大腸菌群、嫌気性菌もによるものもみられます。
骨盤内腔の感染が、上腹部、特に肝皮膜に至ります。
5:検査・診断
(1)検査
男性---検尿から尿中PCRで検査します。
女性---綿棒を使用して膣からの分泌物を採取してPCRまたは血中抗体を測定します。
咽頭---うがい液を検体にしてPCRで検査します。
詳細は、「性行為感染症の検査」へ
(2)鑑別診断
@淋菌との鑑別
淋病の方が強い症状が出ることがあります。
しかし個人差が大きいため、症状からの判断は難しくなり、PCR等の検査が不可欠になります。
淋病とクラミジアは20?30%で合併していることがあります。
Aクラミジアとマイコプラズマの鑑別
クラミジアも症状の無い方が多いのですが、それ以上にマイコプラズマは症状が顕著に出ません。
性感染症でのクラミジアの原因菌は、クラミジア・トラコマティスという細菌です。
マイコプラズマの原因菌は、マイコプラズマ・ホミニス、マイコプラズマ・ジェニタリウムという2種類の細菌が
存在します。
この様に男女ともに症状が出にくいことに加え、クラミジアとよく似ている感染症であるため、検査以外での
判断は困難となっています。
6:治療
治療には抗菌薬、とくにテトラサイクリン系薬、マクロライド系薬、およびニューキノロン系薬が使用されます。
クラミジアは男女間でお互いに感染させるいわゆるピンポン感染があるため、両者の治療を同時に行うことが重要です。
ヒトにおける処方例
ミノマイシン 100mg----2錠 1日2回 朝夕食後 7日
ジスロマックSR 2g-----1錠 1日1回 1日 (ジスロマックなら、一回の内服で90%が治ります)
クラリス 200mg-------2錠 1日2回 朝夕食後 7日
女性の腹膜炎と男性の副睾丸炎には入院の上点滴が必要になることがあります。
7:予防
クラミジア、淋病はともに免疫ができないため、何度も感染する可能性があります。
性行為(オーラルセックス含む)の際、コンドームを正しく着用すること、不特定多数の性的接触を避けることが
必要と考えられます。
|
| クラミジア感染症と口腔ケア |
|
| 参考資料 |
「性行為感染症の検査」へ
『病気がみえる vol.6 免疫・膠原病・感染症』
『性感染症基礎知識 ―恋の邪魔するクラミジア』
『看護師・看護学生のためのなぜ?どうして? 2020-2021 5 免疫/血液/感染症/呼吸器』 (看護・栄養・医療事務・介護他医療関係者のなぜ?どうして?シリーズ)
『性感染症検査のススメ 』 (あおぞらクリニック)
『増補版 今若者が危ない性感染症―青少年のための性感染症の基礎知識』
『臨床と微生物 34ー3 特集:クラミジア感染症の基礎と臨床』
「性感染症 診断・治療 ガイドライン 2016」 日本性感染症学会
「性感染症報告数 2004年〜2020年」 厚労省
|